贝塞尔光束的特性
时间:2025-07-02
来源:娱乐pg平台
访问量:1121
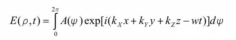
用波矢k躺在一锥体表面内的一组平面波的叠加推导出贝塞尔光束的表达式:

其中ψ为极角,A(ψ)是ψ任意复函数,而贝塞尔积分公式为:

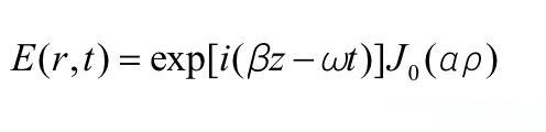
即最后E(r,t)可简单的写成:

这里,

为径向距离
J0是零阶第一类贝塞尔函数,则由式所决定的横平面上的光强分布为:

理论推导中发现无衍射光束垂直于传输方向的任意横截面,其光强分布均服从第一类零阶贝塞尔函数形式,故也称“无衍射光束”为贝塞光束。贝塞尔光束除了具有无衍射性和自愈性外,它的光强分布对称且沿直线传输,可用于激光准直、检测测量领域。周钊贤等人[2]用非线性光子晶体光纤直接输出超连续贝塞尔光束,崔超涵等人[3]利用空间光调制器设计半周期空间光相位调制的方案获得贝塞尔光束。孙川等人[4]用线性径向梯度折射率透镜产生长距离、高质量的贝塞尔光束,改变线性径向梯度折射率透镜的厚度和折射率曲线参数可以很容易改变其产生光束的无衍射距离。下图为贝塞尔光束,随着轴锥周期变化贝塞尔光束由环状聚焦为点状。

接收距离为50cm处,光束随轴锥周期的变化图
您可能感兴趣的文章
热烈祝贺我公司荣获“湖北省科技进步三等奖”
经省科学技术奖励评审委员会评审、省科学技术奖励委员会审定,我公司联合湖北第二师范学院、湖北工业大学等校企单位申报的“高性能激光器及激光加工生产线的管件技术研究与产业化”项目成果被省政府授予“湖北省科技进步奖三等奖”。其中公司董事长陈义红博士和副总经理易光纯均被授予“湖北省科技进步奖”获得者三等奖证书,以表彰他们对获奖项目成果做出的突出贡献。
2021-03-02
查看更多
陈义红博士入选《激光领军人物》
陈义红博士入选《激光领军人物》,入选文章叙述了陈义红博士的求学与创业经历,亦回首了陈义红博士二十年来的创业艰辛与成功喜悦。原文发表在第82页至88页。
2020-08-31
查看更多
陈义红博士接受《长江日报》采访:我对武汉发展充满信心
2020年1月6日,武汉进入两会时间,《长江日报》聚焦2020武汉两会,发表主题文章《迈向新一线城市要在“加速”,武汉展现城市雄心》。我司董事长陈义红博士作为市政协委员参加两会期间接受《长江日报》采访,畅谈武汉经济发展成绩,陈义红博士表示:“武汉的经济发展、城市交通、市容市貌、文明程度、
2020-01-07
查看更多
武汉电视台专题报道陈义红博士创新创业经历
为庆祝新中国成立70周年、武汉市侨联成立60周年,武汉市归国华侨联合会、武汉广播电视台经济频道重磅推出40集系列专题片《侨英荟》。2019年12月26,专题报道我司董事长陈义红博士回国创新创业经历。以下为武汉经视公众号文字报道实录。科幻电影《珊瑚岛上的死光》没有华丽的特效,故事也不算出彩但对激光的刻画称
2020-01-02
查看更多
陈义红博士专访:激光行业最大的问题是同质化竞争
近日,OFweek激光网专访陈义红博士,就激光行业相关发展现状问题进行了深入探讨。原文发表于2019年12月3日OFweek激光网微信公众号,以下为专访全文:陈义红博士专访:激光行业最大的问题是同质化竞争近年来,激光行业发展迅猛,市场规模逐年增长,同时市场竞争也越来越激烈,个别市场早已成了一片红海。在竞争
2019-12-04
查看更多
《今日光谷》回顾归汉光谷人创业路
《今日光谷》2019年第8期刊登专题文章---《这些年,从天涯海角归来的光谷人》,细数30年来光谷关键发展节点,回顾归汉光谷人的创新创业历程,我司董事长陈义红博士就是光谷人的杰出代表之一。
2019-12-03
查看更多
《楚天都市报》---招才大使为科创交流牵线搭桥
《楚天都市报》刊登2019年华创会专题报道《光谷科创力量闪耀2019华创会》,聚焦招才大使为科创交流牵线搭桥,原文刊登在《楚天都市报》2019/11/28/03版/创光谷*光视点,以下为报道全文:光谷科创力量闪耀2019华创会11月21日至22日,第十九届华侨华人创业发展洽谈会(简称华创会)在汉开幕。本次盛会期间,光谷创业项目&
2019-11-28
查看更多
陈义红在华创会-智能制造暨第十届田长霖论坛作主旨演讲
11月21日,由湖北省政府、国务院侨务办公室、武汉市政府主办的2019华创会-智能制造暨第十届田长霖论坛在汉召开,陈义红博士出席论坛并做主旨演讲。论坛上,陈义红博士发表题为《激光技术在智能制造的应用》主旨演讲,探讨了激光技术在智能制造重点领域的应用情况及发展前景,并与在场专家、企业家频频互动,为武汉乃至湖北
2019-11-22
查看更多
陈义红董事长受邀参加“华创会”并接受湖北卫视专访
定于2019年11月20日至22日在湖北武汉举行,以“万侨同心,共创未来”为主题,以第六届“华创杯”创业大赛为抓手,通过论坛、项目推介洽谈等专场活动,进一步凝聚共识、汇聚侨力,为海内外代表搭建交流平台,促进人才、技术、经贸洽谈与合作,招才引智、招商引资,双向互动、互利共赢,实现创新创业人
2019-11-21
查看更多
从参加者变成组织者,每次来华创会就像回家---《长江日报》专访陈义红博士
11月20日,2019年华创会在汉开幕,陈义红博士应邀出席,并将在活动论坛中发言。《长江日报》专访陈义红博士,聚焦华创会,以下为专访实录:“从2002 年参加华创会到现在,我从客人变成了主人,每一次来华创会就像回家。” 娱乐pg平台技术有限公司董事长陈义红对华创会有着深厚的感情,今年他将作为嘉宾代表在活动
2019-11-21
查看更多

