主被动双调Q内腔MgO∶PPLN中红外光参量振荡器
引言
由于3~5μm波段中红外激光源在激光通信、遥感、激光雷达和大气环境监测等方面得到广泛应用,光学参量振荡器(OPO)作为获得该波段激光的常用方法也越来越受到关注。目前,用于产生中红外激光的OPO非线性晶体主要有ZnGeP2(ZGP)、AgGaSe2(AGS)、周期极化LiNbO3(PPLN)等。其中:ZGP和AGS晶体的生长成本较高,对2μm以下的激光有着很强的吸收,不适用于1μm激光作为泵浦源的情况;PPLN晶体在室温下容易发生光折变损伤。掺杂MgO的周期性极化铌酸锂(MgO∶PPLN)因具有非线性系数大、损伤阈值高、透光范围宽等优点,成为了准相位匹配的首选非线性晶体。内腔OPO可以有效利用腔内高光子数密度的基频光,使得OPO具有更低的泵浦阈值和更高的非线性转换效率。相比于连续激光泵浦,脉冲激光具有更高峰值能量密度,能够使内腔光参量振荡器(IOPO)更加有效地工作。
目前,在IOPO的基频光腔内应用Q开关一直是获得高峰值功率脉冲激光的有效手段,其中声光Q开关(AO)可以控制脉冲序列的重复频率但获得的脉冲宽度较宽。而被动Q开关调制虽然可以获得较窄 的脉冲宽度,但重复频率稳定性较差且脉冲峰值功率较低。大量的研究已经表明,主被动双调Q技术 是一种能够同时提高光束质量、压缩脉冲宽度并提高峰值功率的有效手段。因此,结合主被动双调Q技术的IOPO,可以产生具有窄脉冲宽度、高峰值功率的激光脉冲。2009年,Wang等搭建了基于AO-Cr4+∶YAG可饱和吸收体双调Q泵浦的KTiOAsO4(KTA)IOPO,在6.84 W的泵浦功率和10 kHz的重复频率下获得了脉宽为2.24 ns的1.57μm信号脉冲,并且在重复频率5 kHz处获得的最佳脉冲宽度的压缩比约为42.6%。2017年,Qiao等也基于AO-Cr4+∶YAG双调Q泵浦的KTA IOPO实现了1535 nm的信号光输出,在18.3 W的泵浦功率和10 kHz的重复频率下,输出信号光脉冲宽度最窄是2.4 ns,对应的最大峰值功率是47 kW,而双调Q信号光最短脉冲宽度是898 ps,对应的最大峰值功率是68.4 kW。目前,基于声光Q开关和Cr4+∶YAG可饱和吸收体的双调Q开关对于压缩IOPO输出激光脉宽并提升峰值功率有较好的调制作用,且研究主要集中在近红外波段,而关于中红外波段的研究鲜有报道。
本文以MgO∶PPLN作为非线性晶体,研究了基于AO-Cr4+∶YAG可饱和吸收体的主被动双调Q泵浦的IOPO的输出特性。当泵浦功率为18.41 W、重复频率为40 kHz时,主被动双调Q IOPO实现了输出功率为381 mW、单脉冲能量为9.53μJ、脉冲宽度为6.43 ns和峰值功率为1.48 kW的3.8μm激光脉冲输出。
实验装置
基于声光Q开关(AOQS)和Cr4+∶YAG可饱和吸收体的主被动双调Q的MgO∶PPLN IOPO的实验装置如图1所示。泵浦源采用中心波长为808 nm、最大输出功率为45 W的半导体泵浦模块,纤芯直径为400μm,数值孔径(NA)为0.22。泵浦光束被耦合镜聚焦至增益介质,耦合效率可达97%。增益介质Nd∶YVO4是由掺杂了Nd3+的YVO4(长度为16 mm,Nd3+的原子数分数为0.25%)和纯YVO4(长度为4 mm)组成的键合晶体(尺寸为3 mm×3 mm×20 mm)。其端面镀有808 nm&1064 nm增透膜并被铟箔包裹放在紫铜热沉中,接通水冷系统调控温度。焦距为100 mm的聚焦镜(F)作为光学镇定器被放置在距Nd∶YVO4输出端90 mm处的激光谐振腔中,可以提高光学稳定性和转换效率。整个激光谐振腔由1064 nm增益腔和光参量振荡腔构成。曲率半径为300 mm的腔镜M1与平镜M3构成长度为264 mm的增益腔,腔镜M2与M3构成长度为100 mm的光参量振荡腔。在M1和F之间放置一个通光方向尺寸为35 mm的声光Q开关和一块厚度为2.3 mm的Cr4+∶YAG晶体,其小信号透射率为92.67%,晶体的直径是10 mm。在M2和M3中间放置一块MgO∶PPLN晶体,实现内腔中红外变频。晶体极化周期为29.5μm,掺杂物MgO的原子数分数为5%,尺寸为50 mm×4 mm×2 mm,其两端镀有1064 nm、1.4~1.7μm和3.0~4.0μm的增透膜。晶体被放在精度为±0.1 K的温控炉中,设置温度为25℃。实验中腔镜镀膜参数如表1所示。由于本实验未采用高功率泵浦,为了降低IOPO的泵浦阈值,我们采用的M3对信号光高反,并且整个实验中未出现逆转换现象。

图1、双调Q的MgO∶PPLN IOPO实验装置示意图

表1、各腔镜镀膜参数
OPO理论分析
MgO∶PPLN晶体是在掺杂了MgO的LiNbO3的晶体两端,通过外加电场的方式对其自发极化方向进行周期性调制而获得的。根据准相位匹配条件,在OPO过程中三波需要满足能量守恒和动量守恒定律:

式中:λp、λs和λi分别为基频光、信号光和闲频光的波长;Λ为晶体极化周期;np、ns和ni分别为基频光、信号光和闲频光的折射率。折射率可根据MgO∶PPLN晶体的e光折射率Sellmeier方程来计算:

式中:各项参数值如表2所示;f为温度t的函数,其表达式为

表2、Sellmeier 方程的各项参数值

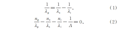
基于上述理论,模拟了基于MgO∶PPLN IOPO的极化周期调节曲线,其模拟结果如图2所示。从图2可知,当MgO∶PPLN晶体的极化周期为29.5μm且温度设置成25℃时,理论上可以获得3.828μm的中红外激光。

图2 、MgO∶PPLN OPO周期调谐曲线
实验结果与讨论
声光调Q的IOPO实验
首先进行声光调Q的MgO∶PPLN IOPO实验,实验结果如图3所示。使用功率探头探测闲频光的输出功率。随着泵浦功率的改变,声光调Q闲频光输出功率的变化规律如图3(a)所示。可以看出,闲频光输出功率随着泵浦功率的增大而增大,但随着重复频率的增大而减小。当泵浦功率为18.41 W时,30、40、50 kHz三种重复频率情况下声光调Q闲频光的最大输出功率分别是564、490、460 mW,808 nm泵浦光-闲频光的转换效率分别为3.06%、2.66%、2.50%。接着使用中红外脉宽探测器采集闲频光信号,并在数字示波器上记录闲频光脉冲序列及时间波形。随着泵浦功率的改变,三种重复频率下的闲频光脉冲宽度的变化如图3(b)所示,可以看出闲频光脉冲宽度随泵浦功率的增加呈单调递减,随重复频率的增加呈单调递增。当泵浦功率为18.41 W时,实验测得30、40、50 kHz三种重复频率下声光调Q内腔OPO的输出脉冲宽度最小值分别为9.02、9.50、10.55 ns。单脉冲能量和峰值功率可以通过对应的平均输出功率与脉冲宽度计算得到[27]。在声光调Q方式下,内腔OPO输出闲频光的单脉冲能量随泵浦功率的变化规律如图3(c)所示,可以看到,单脉冲能量与泵浦功率呈正比关系而与重复频率呈反比关系。当泵浦功率为18.41 W时,30、40、50 kHz三种重复频率情况下声光调Q闲频光的单脉冲能量分别是18.80、12.25、9.20μJ。三种重复频率下声光调Q闲频光的峰值功率随泵浦功率的变化规律如图3(d)所示,可以看到峰值功率随着泵浦功率的增加而增大。当泵浦功率为18.41 W时,30、40、50 kHz三种不同重复频率下声光调Q闲频光的峰值功率分别为2.08、
1.29、0.87 kW。从上述实验结果可知,在30 kHz的重复频率下,声光调Q内腔OPO可以获得具有最大输出功率、单脉冲能量、最窄脉冲宽度和最高峰值功率的闲频光。

图3、不同重复频率下声光调Q的MgO∶PPLN IOPO实验结果。(a)输出功率;(b)脉冲宽度;(c)单脉冲能量;(d)峰值功率
使用焦热电阵列相机对声光调Q内腔OPO在40 kHz重复频率下的输出激光光斑进行多位置测量。将焦距为150 mm的聚焦透镜放在输出镜后,通过刀口法测得激光光斑的数据,并对其进行拟合。声光调Q内腔OPO闲频光的光束质量如图4所示,可以看出,声光调Q内腔OPO输出的闲频光的横向光束质量因子(M和纵向光束质量因子(My2)分别为3.11和3.44。

图4、声光调Q闲频光光束质量
双调Q的IOPO实验
首先,我们设置重复频率为40 kHz,通过选取小信号透过率分别为88.14%和92.67%的Cr4+∶YAG被动Q晶体,分析了不同小信号透过率对双调Q的MgO∶PPLN IOPO输出特性的影响。实验结果如图5所示。不同小信号透过率下双调Q闲频光的输出功率随泵浦功率的变化规律如图5(a)所示。可以看到,相较于88.14%的透过率(T0),92.67%小信号透过率下双调Q闲频光的输出功率整体提升。当泵浦功率为18.41W时,输出功率分别是353 mW和381 mW。不同小信号透过率下双调Q闲频光的脉冲宽度随泵浦功率的变化规律如图5(b)所示。可以看到,在18.41 W的泵浦功率下,T0=88.14%和T0=92.67%时双调Q闲频光的脉冲宽度分别为6.95 ns和6.43 ns。T0=92.67%时双调Q闲频光的脉冲宽度更窄。不同小信号透过率对双调Q闲频光单脉冲能量的影响如图5(c)所示。可以看出,在18.41 W的泵浦功率下,T0=88.14%和T0=92.67%时双调Q闲频光的最大单脉冲能量分别是8.8μJ和9.5μJ。不同小信号透过率对双调Q闲频光峰值功率的影响如图5(d)所示。可以看到,在18.41 W的泵浦功率下,T0=88.14%和T0=92.67%时双调Q闲频光的峰值功率分别为1.27 kW和1.48 kW。相较于T0=88.14%的透过率,92.67%小信号透过率下双调Q闲频光的峰值功率整体更高。
接下来我们选用小信号透过率为92.67%的Cr4+∶YAG被动Q晶体进行双调Q的MgO∶PPLN IOPO实验,实验结果如图6所示。泵浦功率对双调Q闲频光输出功率的影响如图6(a)所示。可以看到,在30、40和50 kHz三种重复频率下,双调Q闲频光的最大输出功率分别是436、381和316 mW,808 nm泵浦光-闲频光的转换效率分别是2.37%、2.07%和1.72%。受泵浦功率影响的双调Q闲频光的脉冲宽度变化曲线如图6(b)所示。可以看到,在18.41 W的泵浦功率下,重复频率为30、40和50 kHz时双调Q闲频光的最窄脉冲宽度分别是6.20、6.43和6.73 ns。双调Q闲频光的单脉冲能量随泵浦功率的变化如图6(c)所示。可以看出,在18.41 W的泵浦功率下,重复频率为30、40和50 kHz时双调Q闲频光的最大单脉冲能量分别是14.5、9.5和6.3μJ。双调Q闲频光的峰值功率随泵浦功率的变化如图6(d)所示。可以看到,在18.41 W的泵浦功率下,重复频率为30、40和50 kHz时双调Q闲频光的峰值功率分别为2.34、1.48和0.94 kW。
使用傅里叶光谱仪(波长精度小于0.01 cm-1,光谱范围为1.0~5.6μm)对双调Q的MgO∶PPLN IOPO输出光谱进行测量,其结果如图7所示,闲频光中心波长为3.818μm,线宽为3.896 nm。
双调Q内腔OPO输出闲频光的光束质量如图8所示。双调Q内腔OPO输出闲频光的M和My2分别是1.98和2.05。

图5、不同小信号透过率对双调Q的MgO∶PPLN IOPO输出特性的影响。(a)输出功率;(b)脉冲宽度;(c)单脉冲能量;(d)峰值功率

图6、不同重复频率下双调Q的MgO∶PPLN IOPO实验结果。(a)输出功率;(b)脉冲宽度;(c)单脉冲能量;(d)峰值功率

图7、双调Q的MgO∶PPLN IOPO输出光谱

图8、双调Q闲频光的光束质量
实验结果对比
最后,选取重复频率为40 kHz,对两种调Q方式下的闲频光输出特性进行了比较分析,其结果如图9所示。图9(a)可以看出,相较于声光调Q,插入Cr4+∶YAG被动Q晶体后,双调Q输出闲频光功率确实降低了,并且阈值增大。从图9(b)可以看出,与声光调Q相比,在基频光腔中插入Cr4+∶YAG晶体可以有效压缩闲频光的脉冲宽度。在泵浦功率为18.41 W时,其脉冲宽度被压缩了32.3%。这是因为闲频光是由基频光经过MgO∶PPLN晶体后变频产生的,利用Cr4+∶YAG被动晶体的可饱和吸收特性,在声光调Q内腔OPO的基频光腔内插入Cr4+∶YAG被动Q晶体可以等效地缩短声光Q开关的开关时间,加速了Q开关打开时腔损耗的变化,从而缩短了腔内基频光的脉冲下降沿时间,进而腔内振荡的基频光的脉冲宽度变窄,最终实现了闲频光脉冲宽度的有效压缩。从 图9(c)可以看到,相比于声光调Q,双调Q内腔OPO输出闲频光的单脉冲能量普遍降低。其直接原因是:双调Q内腔OPO输出闲频光的功率降低,从而导致了其单脉冲能量降低。而从图9(d)可以看出,得益于脉冲宽度的压缩,双调Q内腔OPO的闲频光峰值功率提升了14.7%。此外,双调Q内腔OPO输出激光的光束质量得到了明显的提高。这是因为插入的Cr4+∶YAG晶体起到了“小孔光阑”的作用。通过上述对比可知,在IOPO中应用由声光Q开关和r4+∶YAG被动Q晶体组成的双调Q开关,可以有效地压缩闲频光的脉冲宽度并提高其峰值功率和光束质量。

图9、不同调Q方式下闲频光输出特性的对比。(a)输出功率;(b)脉冲宽度;(c)单脉冲能量;(d)峰值功率
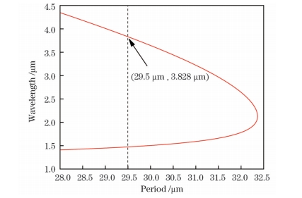
在泵浦功率为18.41 W和声光重复频率为40 kHz时,声光调Q和双调Q内腔OPO输出的闲频光的脉冲序列和脉冲宽度分别如图10(a)、(b)所示。

图10、不同调Q方式下闲频光的脉冲序列和脉冲宽度。(a)声光调Q;(b)双调Q
结论
报道了一种基于双调Q泵浦的内腔MgO∶PPLN中红外OPO。实验结果证明了在腔内泵浦单谐振OPO中同时使用声光Q开关和Cr4+:YAG可饱和吸收体,能够有效压窄3.8μm闲频光的脉冲宽度,并提高其峰值功率。当泵浦功率为18.41 W、重复频率为40 kHz时,脉冲宽度压缩了32.3%,峰值功率提升了14.7%,得到了最窄脉冲宽度为6.43 ns以及峰值功率为1.48 kW的激光脉冲,同时双调Q的MgO∶PPLN IOPO输出的闲频光的光束质量得到了改善。研究结果为研发窄脉冲宽度、高峰值功率的高质量中红外光源提供了新的技术支持。
文章来源:中国激光, 2024, 51 (14): 1401013(如有侵权,请联系删除)
LBO晶体:引领高功率激光频率转换的核心元件
LBO晶体在DUV光刻机中的作用
非线性光学倍频晶体的比较与应用:CLBO、LBO、BBO与KTP
突破线宽调控瓶颈!LBO晶体如何塑造光参量振荡器的未来?
突破线宽调控瓶颈!LBO晶体如何塑造光参量振荡器的未来?
超越传统非线性晶体:PP-Mg:SLT在宽谱频率转换中的优势
攻克灰迹效应难题的高性能非线性光学材料—HGTR KTP晶体
PP-MgSLT晶体如何实现高效全波段激光转换
重塑光子纠缠:HP APKTP晶体如何开启量子光源新纪元

