激光扩束器(Beam Expander)设计
常规的激光扩束器,主要的作用就是利用光学透镜改变输入光斑的空间形状分布。比如把小的圆形光斑改成大的圆形光斑,把圆形光斑调制成椭圆形光斑,改变矩形光斑的长宽比等等。本期介绍了四种激光扩束的设计思路,感兴趣的朋友们多多交流。

方案1:利用两组正透镜实现圆形准直光斑的扩束
系统的光路图如下,在两组透镜的公共焦点位置,安装针孔遮挡杂散光。

整个系统的放大率关系如下所示:

从系统长度的关系可以看出:

方案2:利用一正一负透镜组合实现圆形准直光斑的扩束
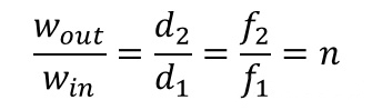
系统的光路图如下所示,和两组正透镜方案类似,一正一负两组透镜的配置依然是共焦点的。

一正一负两组透镜设计方案的放大率计算公式如下所示:

从系统长度的关系可以看出:

从方案1和方案2的对比可知,相同参数要求下,方案2比方案1的整体长度要短:

方案3:利用柱透镜把圆形光斑整形成椭圆光斑
输入光斑想要在某个方向上压缩的到椭圆光斑,就可以利用cylinder透镜。比如下图所示,圆形准直光斑输入,在X方向上保持准直特性不变,在Y方向进行压缩得到椭圆光斑。
对于激光器出射后的椭圆光斑,也可以利用柱透镜整形成为圆形光斑。

除了圆形光斑,如果需要对矩形光斑改变长宽比,也可以利用类似的思路,如下所示。

比如之前有朋友咨询,对于入射圆形准直光斑,是否可以用两块柱面透镜实现,光斑在Y方向上聚焦,光斑在X方向上长度连续变焦。
用相同的两块柱透镜,通过改变两个透镜之间的距离,是完全可以实现的,如下图所示。

方案4:利用棱镜组合进行扩束设计
除了透镜方案外,还可以利用棱镜方案进行扩束设计,如下图所示。

笔者喜欢用两组相同的棱镜设计,这里的相同有双重含义,第一指的是两个透镜的形状完全相同,可以在节省加工成本。第二指的是棱镜相对于入射光线的摆位完全相同,这样子很方便计算,只需要计算一组结果即可,第二组棱镜直接斜边朝着入射光直立放置即可,光路配置非常方便。
先计算光线经过第一个棱镜的放大率,则整个系统的放大率就是已知的,假设棱镜对折射率n已知,且入射光线和棱镜斜面的夹角已知,根据三角关系,可以直到光束扩展倍率:

由于两个棱镜是串联的,因此整个系统的扩束倍率为:

这种棱镜实现的功能和柱面透镜相同,可以改变光斑两个方向上的尺寸比,也就是说,既可以把圆形光斑整形为椭圆光斑,也可以对矩形光斑进行整形。但是这种组合有个明显的劣势,系统的光轴是偏心的,所以没有特别的要求,不建议使用这种optical axis shift的设计方案。
再补充:如下图所示,由于激光很容易产生干涉,因此如果光学系统表面不做镀膜处理,很容易会造成局部能量集中,干涉造成的局部能量欺负差异会达到20%,因此不管从系统的能量阈值安全性方面考虑,还是从系统探测的准确度方面考虑,激光类应用的光学系统表面都需要镀增透膜。

电动扩束镜 S6EZM0940-574 技术综述
专为紫外超短脉冲激光器设计的高性能消色差扫描透镜
如何测量光学元件的折射率
硒化锌扩束镜在CO2激光器系统中的应用与对比分析
C口与CS口:工业镜头接口的5mm法兰距差异
高数值孔径与多波长协同-捕获离子透镜
Sil Optics紧凑型高功率紫外消色差扫描透镜突破工业极限
双层防御:ZnSe基材+抗损涂层的1-3x变焦扩束镜
激光世界的“塑形大师”:激光扩束镜

